← Назад до списку тем

Тема: Лінза. Оптична сила лінзи. Формула тонкої лінзи. Побудова зображень, які дає тонка лінза.

ЗНО-2020, додаткова сесія, питання 18
На рисунку показано хід променів білого світла. Що розташовано за ширмою Ш?
Ілюстрація до питання 18
    А. плоске дзеркало
    Б. збиральна лінза (правильна)
    В. дифракційні гратки
    Г. розсіювальна лінза
ЗНО-2021, пробна сесія, питання 17
На аркуші паперу є два зображення Гаррі Поттера (рис. 1). Перед аркушем поставили порожню склянку (рис. 2). Заповнили її водою так, щоб рідина закрила одне зображення Гаррі (рис. 3). А потім долили води так, як зображено на рисунку 4. Укажіть правильний варіант відповіді.

Склянка, заповнена до самого краю водою,
Ілюстрація до питання 17
    А. дає зображення як збиральна лінза (правильна)
    Б. виконує роль дзеркала
    В. міняє напрямок променів на зворотний
    Г. дає зображення як розсіювальна лінза
ЗНО-2016, пробна сесія, питання 17
Яка лінза (збиральна, розсіювальна) дає змогу отримати уявне зображення предмета?
    А. лише збиральна
    Б. лише розсіювальна
    В. обидві лінзи (правильна)
    Г. жодна з лінз
ЗНО-2018, додаткова сесія, питання 21
Який оптичний пристрій може бути використаний для одержання збільшеного уявного зображення предмета?
    А. плоске дзеркало
    Б. розсіювальна лінза
    В. перископ
    Г. збиральна лінза (правильна)
ЗНО-2015, пробна сесія, питання 17
На рисунку показано хід світлового променя крізь збиральну лінзу. Визначте оптичну силу лінзи, якщо відстань між лініями сітки на рисунку дорівнює $4 \mathrm{~см}$.
Ілюстрація до питання 17
    А. $2,5 \mathrm{~дптр}$
    Б. $5 \mathrm{~дптр}$
    В. $7,5 \mathrm{~дптр}$
    Г. $10 \mathrm{~дптр}$ (правильна)
ЗНО-2011, основна сесія, питання 21
Предмет розташовано на відстані $1 \mathrm{~м}$ від збиральної лінзи з оптичною силою $2 \mathrm{~дптр}$. Визначте відстань між лінзою та зображенням предмета.
    А. $4 \mathrm{~м}$
    Б. $2 \mathrm{~м}$
    В. $1 \mathrm{~м}$ (правильна)
    Г. $0,5 \mathrm{~м}$
ЗНО-2011, додаткова сесія, питання 22
На рисунку зображено промінь світла, що падає на тонку лінзу. Після заломлення в лінзі цей промінь пройде через точку, позначену цифрою
Ілюстрація до питання 22
    А. 1
    Б. 2
    В. 3
    Г. 4 (правильна)
ЗНО-2011, додаткова сесія, питання 23
Який оптичний пристрій може давати уявне зображення предмета, що за розміром не відрізняється від самого предмета?
    А. збиральна лінза
    Б. розсіювальна лінза
    В. спектроскоп
    Г. плоске дзеркало (правильна)
ЗНО-2012, додаткова сесія, питання 24
На рисунку зображено світловий промінь, що падає на лінзу ( $M N$ – головна оптична вісь лінзи, $F$ – фокусна відстань лінзи). На якому з рисунків правильно показано подальше поширення цього променя?
    А. Ілюстрація до питання 24
    Б. Ілюстрація до питання 24
    В. Ілюстрація до питання 24
    Г. Ілюстрація до питання 24 (правильна)
ЗНО-2012, пробна сесія, питання 24
Який оптичний пристрій може бути використаний для одержання зменшеного дійсного зображення предмета?
    А. плоске дзеркало
    Б. розсіювальна лінза
    В. перископ
    Г. збиральна лінза (правильна)
ЗНО-2013, основна сесія, питання 17
На рисунку схематично зображено промінь світла, що перетинає головну оптичну вісь тонкої збиральної лінзи і падає на її поверхню. Укажіть подальший хід променя.
Ілюстрація до питання 17
    А. 1
    Б. 2 (правильна)
    В. 3
    Г. 4
ЗНО-2014, додаткова сесія, питання 18
Промінь лазера спрямували на тонку збиральну лінзу паралельно її головній оптичній осі. Під яким кутом промінь перетинає головну оптичну вісь після його проходження крізь лінзу? Відстань між променем, що падає на лінзу, і головною оптичною віссю дорівнює $2 \mathrm{~см}$, оптична сила лінзи – $5 \mathrm{~дптр}$.
    А. $\arcsin (0,1)$
    Б. $\arctg (0,1)$ (правильна)
    В. $\arcsin (0,4)$
    Г. $\arctg (0,4)$
ЗНО-2014, пробна сесія, питання 17
У якій точці 1, 2, 3 або 4 перетнуться паралельні промені після проходження крізь збиральну лінзу (див. рисунок)? Точка $F$ – фокус лінзи, точка 4 збігається з фокусом лінзи.
Ілюстрація до питання 17
    А. 1
    Б. 2 (правильна)
    В. 3
    Г. 4
ЗНО-2015, основна сесія, питання 18
Учень отримав чітке зображення нитки розжарення на екрані. Визначте оптичну силу лінзи. Одна поділка лінійки дорівнює $1 \mathrm{~см}$.
Ілюстрація до питання 18
    А. $1 \mathrm{~дптр}$
    Б. $2 \mathrm{~дптр}$
    В. $3 \mathrm{~дптр}$
    Г. $4 \mathrm{~дптр}$ (правильна)
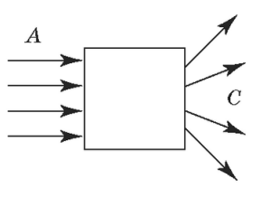
ЗНО-2010, додаткова сесія, питання 22
Оптичний прилад перетворює паралельний світловий пучок $A$ в розбіжний пучок $C$ (див. рисунок). Який саме оптичний прилад схований на рисунку за квадратною ширмою?
Ілюстрація до питання 22
    А. лінза (правильна)
    Б. трикутна призма
    В. плоске дзеркало
    Г. плоскопаралельна пластинка
ЗНО-2020, додаткова сесія, питання 24
Паралельний монохроматичний пучок променів падає на оптичний прилад, який розташовано в повітрі. Установіть відповідність між оптичним приладом (1-4) і варіантом (А – Д) поширення пучка променів відразу після проходження ним цього приладу.
Зіставлення:
Варіанти зліва
1. тонка лінза, оптична сила якої позитивна $(D>0)$
2. тонка лінза, оптична сила якої негативна $(D<0)$
3. плоскопаралельна пластинка
4. плоске дзеркало
Варіанти справа
А. розходиться, ніби виходить із точки
Б. сходиться, перетинаючись у точці
В. залишається паралельним і зберігає напрямок
Г. залишається паралельним, але змінює напрямок
Д. залишається паралельним, але звужується
А Б В Г Д
1
2
3
4
НМТ-2023, основна сесія, 10 сесія, 1 зміна, питання 19
Предмет розміщують на відстані $40 \mathrm{~см}$ від збиральної лінзи й отримують дійсне перевернуте зображення такого ж розміру, що й предмет. Яка фокусна відстань збиральної лінзи?
Правильна відповідь: 20.0
ЗНО-2020, основна сесія, питання 37
На рисунку зображено хід світлового променя крізь збиральну лінзу. Визначте оптичну силу лінзи, якщо відстань між лініями сітки на рисунку становить $2 \mathrm{~см}$. Відповідь запишіть у діоптріях ($\mathrm{дптр}$).
Ілюстрація до питання 37
Правильна відповідь: 25.0
Складність: 10
ЗНО-2021, основна сесія, питання 37
За допомогою лінзи з фокусною відстанню $20 \mathrm{~см}$ на вертикальному екрані отримали зображення будинку. Будинок розташований на головній оптичній осі лінзи. Висота зображення дорівнює $12 \mathrm{~мм}$, справжня висота будинку – $6 \mathrm{~м}$. Визначте відстань між лінзою і будинком.
Відповідь запишіть у метрах ($\mathrm{м}$) й округліть до одиниць.
Правильна відповідь: 100.0
Складність: 15
ЗНО-2021, додаткова сесія, питання 37
Предмет розташовано на відстані $1 \mathrm{~м}$ від збиральної лінзи з оптичною силою $5 \mathrm{~дптр}$. Визначте відстань між лінзою та зображенням предмета.
Відповідь запишіть у метрах ($\mathrm{м}$).
Правильна відповідь: 0.25
ЗНО-2016, додаткова сесія, питання 26.1
За збиральною лінзою з фокусною відстанню $10 \mathrm{~см}$ на відстані $5 \mathrm{~см}$ розташували плоске дзеркало перпендикулярно до головної оптичної осі лінзи. Світло проходить через лінзу, відбивається від дзеркала і знову проходить через лінзу.

На якій відстані від лінзи знаходиться зображення предмета, розташованого перед лінзою на відстані $5 \mathrm{~см}$?
Відповідь запишіть у сантиметрах ($\mathrm{см}$)
Правильна відповідь: 20.0
ЗНО-2016, додаткова сесія, питання 26.2
За збиральною лінзою з фокусною відстанню $10 \mathrm{~см}$ на відстані $5 \mathrm{~см}$ розташували плоске дзеркало перпендикулярно до головної оптичної осі лінзи. Світло проходить через лінзу, відбивається від дзеркала і знову проходить через лінзу.

Яке збільшення дасть така система?
Правильна відповідь: 2.0
ЗНО-2016, пробна сесія, питання 33
Фотограф знімає дерево з відстані $15 \mathrm{~м}$. Об’єктив фотоапарата дає зображення дерева, зменшене у 600 разів. Визначте (у діоптріях) оптичну силу об’єктива. Відповідь округліть до цілого числа.
Правильна відповідь: 40.0
ЗНО-2018, основна сесія, питання 38
Предмет розташовано на відстані $1 \mathrm{~м}$ від тонкої розсіювальної лінзи з оптичною силою $-4 \mathrm{~дптр}$. Визначте відстань від лінзи до уявного зображення предмета.
Відповідь запишіть у сантиметрах ($\mathrm{см}$).
Правильна відповідь: 20.0
ЗНО-2015, додаткова сесія, питання 32
Лінза дає дійсне зображення предмета, збільшене в 3 рази. Відстань між предметом і його зображенням становить $80 \mathrm{~см}$. Визначте (у сантиметрах) фокусну відстань лінзи.
Правильна відповідь: 15.0
ЗНО-2013, основна сесія, питання 34
Коли людина знімає окуляри, їй зручно читати, тримаючи книжку на відстані $40 \mathrm{~см}$ від очей. Яка оптична сила її окулярів? Відстань найкращого бачення для нормального ока становить $25 \mathrm{~см}$.
Відповідь запишіть у діоптріях.
Правильна відповідь: 1.5
ЗНО-2013, пробна сесія, питання 31
Збиральна лінза дає дійсне зображення предмета, розташованого на її головній оптичній осі. Розміри предмета та його зображення збігаються, відстань між предметом і зображенням становить $1,6 \mathrm{~м}$. Визначте оптичну силу лінзи.
Відповідь запишіть у діоптріях.
Правильна відповідь: 2.5
ЗНО-2014, додаткова сесія, питання 33
У стелю кімнати вмонтовано точковий світильник. На якій найменшій відстані від нього учень повинен розташувати лінзу з оптичною силою $1,5 \mathrm{~дптр}$, щоб отримати чітке зображення світильника на підлозі? Висота кімнати $3 \mathrm{~м}$.
Відповідь запишіть у метрах.
Правильна відповідь: 1.0
ЗНО-2010, додаткова сесія, питання 36
На розсіювальну лінзу падає збіжний пучок променів. Після заломлення в лінзі промені перетинаються в точці, що знаходиться на відстані $20 \mathrm{~см}$ від лінзи. Якщо лінзу прибрати, то точка перетину променів переміститься на відстань $5 \mathrm{~см}$ ближче до того місця, де раніше знаходилася лінза. Визначте модуль фокусної відстані лінзи.
Відповідь запишіть у сантиметрах.
Правильна відповідь: 60.0
ЗНО-2010, пробна сесія, питання 36
На розсіювальну лінзу вздовж її головної оптичної осі падає світловий пучок діаметром $2 \mathrm{~см}$. Визначте фокусну відстань лінзи (у сантиметрах), якщо на екрані, віддаленому від лінзи на $20 \mathrm{~см}$, утворюється світла пляма радіусом $5 \mathrm{~см}$.
Правильна відповідь: 5.0
ЗНО-2010, основна сесія, питання 36
Об'єктив проекційного апарату має оптичну силу $5,25 \mathrm{~дптр}$. Екран розташовано на відстані $4 \mathrm{~м}$ від об'єктиву. Визначте мінімальну висоту екрана, на якому має поміститися зображення предмета. Висота предмета дорівнює $6 \mathrm{~см}$.
Відповідь запишіть у метрах.
Правильна відповідь: 1.2
ЗНО-2009, додаткова сесія, питання 34
За допомогою лінзи отримали зображення $A_{1} B_{1}$ предмета $A B$ (див. рисунок). Визначте оптичну силу лінзи, якщо відстань між лініями сітки, зображеними на рисунку, дорівнює $6 \mathrm{~см}$. Відповідь запишіть у діоптріях.
Ілюстрація до питання 34
Правильна відповідь: 12.5
ЗНО-2008, додаткова сесія, питання 35
Зображення предмета, розміщеного перед тонкою збиральною лінзою на відстані $30 \mathrm{~см}$, утворюється з іншого боку лінзи на відстані $60 \mathrm{~см}$. Визначте фокусну відстань лінзи (у сантиметрах).
Правильна відповідь: 20.0
ЗНО-2008, додаткова сесія-2, питання 35
Збиральна тонка лінза з фокусною відстанню $20 \mathrm{~см}$ утворює зображення предмета, розміщеного перед нею, на відстані $60 \mathrm{~см}$. Визначте відстань (у сантиметрах), на якій розміщено предмет перед лінзою.
Правильна відповідь: 30.0