Скачати цей тест

Всі тести у форматі PDF, презентації та Word документи для підготовки та викладання

Дізнатися більше
№ 11 ЗНО-2015, додаткова сесія
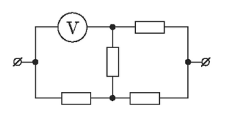
До ділянки кола, що складається з чотирьох однакових резисторів та ідеального вольтметра, прикладено напругу $100 \mathrm{~В}$. Визначте показники вольтметра.
Ілюстрація до питання 11
А
$20 \mathrm{~B}$
Б
$40 \mathrm{~B}$
В
$60 \mathrm{~B}$
Г
$80 \mathrm{~B}$
Правильна відповідь
№ 13 ЗНО-2011, пробна сесія
Амперметр розрахований на $5 \mathrm{~А}$ і має внутрішній опір $0,03 \mathrm{~Ом}$. Визначте опір шунта, який дозволить виміряти за допомогою цього амперметра струм силою до $20 \mathrm{~А}$. Шунт вмикається паралельно до амперметра.
А
$0,01 \mathrm{~Ом}$
Правильна відповідь
Б
$0,06 \mathrm{~Ом}$
В
$0,12 \mathrm{~Ом}$
Г
$0,15 \mathrm{~Ом}$
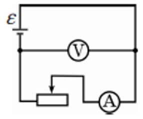
№ 14 ЗНО-2009, додаткова сесія
Як зміниться покази приладів, якщо ковзний контакт реостата перемістити праворуч? Опір з'єднувальних провідників та внутрішній опір гальванічного елемента не враховуйте.
Ілюстрація до питання 14
А
Показ вольтметра зменшиться, показ амперметра не зміниться.
Б
Показ амперметра збільшиться, показ вольтметра зменшиться.
В
Покази амперметра та вольтметра зменшаться.
Г
Показ амперметра зменшиться, показ вольтметра не зміниться.
Правильна відповідь
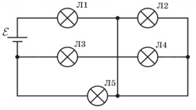
№ 12 ЗНО-2008, додаткова сесія
Визначте, у якому із запропонованих варіантів відповідей номери ламп розташовано в порядку зростання яскравості їхнього світіння. (Всі лампи однакові.)
Ілюстрація до питання 12
А
$5,4,2,1$
Б
$4,2,1,5$
Правильна відповідь
В
$1,2,4,5$
Г
$2,3,1,5$
№ 12 ЗНО-2008, додаткова сесія-2
Визначте, у якому із запропонованих варіантів відповідей номери ламп розташовано в порядку зростання яскравості їхнього світіння. (Всі лампи однакові.)
Ілюстрація до питання 12
А
$1,2,3,5$
Б
$5,3,2,1$
В
$3,4,5,1$
Г
$2,3,5,1$
Правильна відповідь
№ 28 ЗНО-2009, додаткова сесія
У зображеному на рисунку електричному колі ключ розімкнено. Розгляньте схему та встановіть відповідність між твердженнями. Вимірювальні прилади вважайте ідеальними.
Ілюстрація до питання 28
Варіанти зліва
1
Викрутили об́идві лампочки.
2
Ковзний контакт реостата посунули ліворуч.
3
Замкнули ключ.
4
Викрутили одну лампочку.
Варіанти справа
А
Показ амперметра зменшиться (не до нуля),
Б
Показ амперметра збільшиться, а показ вольтметра зменшиться.
В
Показ амперметра збільшиться, показ вольтметра не зміниться.
Г
Перегорить плавкий запобіжник.
Д
Показ амперметра зменшиться, показ вольтметра не зміниться.
Правильні відповіді
1 Б
2 Г
3 Д
4 А
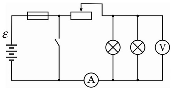
№ 27.1 ЗНО-2020, додаткова сесія
Електричне коло складається із джерела струму (1), вольтметра (2), вимикача (3), амперметра (4), резисторів R1, R2 та реостата R3. Вимірявши силу струму й напругу (див. фото 1), вимикач розімкнули (фото 2) і змінили опір реостата так, щоби показ амперметра збігся з попереднім.

Чому дорівнює напруга на резисторі R1 (фото 1)?
Відповідь запишіть у вольтах ($\mathrm{В}$).
Ілюстрація до питання 27.1
Додаткова ілюстрація до питання 27.1
Правильна відповідь: 2.0
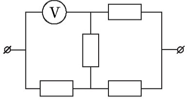
№ 36 ЗНО-2018, основна сесія
Усі резистори в зображеному на рисунку електричному колі однакові. Визначте відношення напруги на полюсах джерела струму до напруги на резисторі 5.
Ілюстрація до питання 36
Правильна відповідь: 4.0
№ 32 ЗНО-2010, додаткова сесія
До ділянки кола, яка складається з чотирьох однакових резисторів та вольтметра, прикладена напруга $100 \mathrm{~В}$. Вважаючи опір вольтметра нескінченно великим, визначте значення напруги, що показує вольтметр (у вольтах).
Ілюстрація до питання 32
Правильна відповідь: 80.0
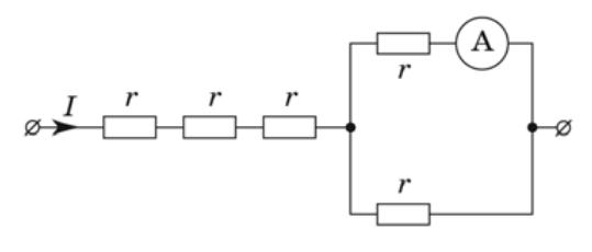
№ 33 ЗНО-2010, основна сесія
Через ділянку кола (див. рисунок) проходить постійний струм $I=10 \mathrm{~А}$. Визначте значення струму (в амперах), що показує амперметр. Опором амперметра знехтуйте.
Ілюстрація до питання 33
Правильна відповідь: 5.0
№ 18 НМТ-2025, основна сесія-1
На рисунку зображено схему електричного кола. Покази амперметрів такі: $I_1=0,6\mathrm{~А}$, $I_2=0,4\mathrm{~А}$. Яку напругу покаже вольтметр, якщо $R_3=2 \mathrm{~Ом}$?
Амперметри й вольтметр уважайте ідеальними.
Відповідь запишіть у вольтах ($\mathrm{B}$)
Ілюстрація до питання 18
Правильна відповідь: 2.0