Скачати цей тест

Всі тести у форматі PDF, презентації та Word документи для підготовки та викладання

Дізнатися більше
Схожість: 99%
Оригінал
№ 1 ЗНО-2017, пробна сесія
У довгій вертикальній трубці, з якої відкачали повітря, на однаковій висоті знаходяться дробинка, корок і пташине перо. Яке з цих тіл першим досягне дна трубки, вільно падаючи з однакової висоти?
А
дробинка
Б
корок
В
пташине перо
Г
усі три тіла одночасно
Правильна відповідь
Дублікат
№ 1 ЗНО-2011, додаткова сесія
У довгій вертикальній трубці, з якої відкачали повітря, на одній і тій же висоті знаходяться дробинка, корок і пташине перо. Яке з цих тіл першим досягне дна трубки, вільно падаючи з однакової висоти?
А
дробинка
Б
корок
В
пташине перо
Г
усі три тіла одночасно
Правильна відповідь
Схожість: 99%
Оригінал
№ 1 ЗНО-2017, пробна сесія
У довгій вертикальній трубці, з якої відкачали повітря, на однаковій висоті знаходяться дробинка, корок і пташине перо. Яке з цих тіл першим досягне дна трубки, вільно падаючи з однакової висоти?
А
дробинка
Б
корок
В
пташине перо
Г
усі три тіла одночасно
Правильна відповідь
Дублікат
№ 1 ЗНО-2014, пробна сесія
У довгій, вертикально встановленій трубці, з якої відкачали повітря, на однаковій висоті знаходяться дробинка, корок і пташине перо. Яке з цих тіл першим досягне дна трубки, вільно падаючи з однакової висоти?
А
дробинка
Б
корок
В
пташине перо
Г
усі три тіла одночасно
Правильна відповідь
Схожість: 95%
Оригінал
№ 3 ЗНО-2017, пробна сесія
Парашутист опускався рівномірно зі швидкістю $5 \mathrm{~м}/\mathrm{с}$. На відстані $100 \mathrm{~м}$ від поверхні землі з його кишені випала монета. На скільки секунд пізніше приземлиться парашутист, ніж впала монета? Вплив опору повітря на монету не враховуйте. Уважайте, що прискорення вільного падіння дорівнює $10 \mathrm{~м} / \mathrm{с}^{2}$.
А
$4 \mathrm{~с}$
Б
$5 \mathrm{~с}$
В
$15 \mathrm{~с}$
Г
$16 \mathrm{~с}$
Правильна відповідь
Дублікат
№ 3 ЗНО-2011, додаткова сесія
Парашутист опускається рівномірно зі швидкістю $5 \mathrm{~м}/\mathrm{с}$. На відстані $100 \mathrm{~м}$ від поверхні землі з його кишені випала монета. На скільки секунд пізніше приземлиться парашутист, ніж впаде монета? Вплив опору повітря на монету не враховувати. Вважайте, що $g = 10 \mathrm{~м} / \mathrm{с}^{2}$.
А
$4 \mathrm{~с}$
Б
$5 \mathrm{~с}$
В
$15 \mathrm{~с}$
Г
$16 \mathrm{~с}$
Правильна відповідь
Схожість: 90%
Оригінал
№ 3 ЗНО-2017, пробна сесія
Парашутист опускався рівномірно зі швидкістю $5 \mathrm{~м}/\mathrm{с}$. На відстані $100 \mathrm{~м}$ від поверхні землі з його кишені випала монета. На скільки секунд пізніше приземлиться парашутист, ніж впала монета? Вплив опору повітря на монету не враховуйте. Уважайте, що прискорення вільного падіння дорівнює $10 \mathrm{~м} / \mathrm{с}^{2}$.
А
$4 \mathrm{~с}$
Б
$5 \mathrm{~с}$
В
$15 \mathrm{~с}$
Г
$16 \mathrm{~с}$
Правильна відповідь
Дублікат
№ 27 ЗНО-2015, додаткова сесія
Парашутист опускається рівномірно зі швидкістю $5 \mathrm{~м}/\mathrm{с}$. На відстані $10 \mathrm{~м}$ від поверхні Землі в нього з кишені випала монета. На скільки секунд пізніше приземлиться парашутист, ніж монета? Вплив опору повітря на монету не враховуйте. Уважайте, що прискорення вільного падіння дорівнює $10 \mathrm{~м} / \mathrm{с}^{2}$.
Правильна відповідь: 1.0
Схожість: 99%
Оригінал
№ 4 ЗНО-2017, пробна сесія
Автомобіль масою $1 \mathrm{~т}$ рухається рівномірно по мосту на висоті $5 \mathrm{~м}$ над поверхнею землі. Швидкість руху автомобіля дорівнює $10 \mathrm{~м} / \mathrm{с}$. Визначте імпульс і кінетичну енергію автомобіля.
А
$10^{4} \mathrm{кг} \cdot \mathrm{м} / \mathrm{с} $;
$10^{5} \mathrm{~Дж}$
Б
$10^{4} \mathrm{кг} \cdot \mathrm{м} / \mathrm{с} $;
$5 \cdot 10^{4} \mathrm{~Дж}$
Правильна відповідь
В
$5 \cdot 10^{4} \mathrm{кг} \cdot \mathrm{м} / \mathrm{с}$ ;
$10^{4} \mathrm{~Дж}$
Г
$10^{5} \mathrm{кг} \cdot \mathrm{м} / \mathrm{с} $;
$10^{4} \mathrm{~Дж}$
Дублікат
№ 5 ЗНО-2010, додаткова сесія
Автомобіль масою $1 \mathrm{~т}$ рухається рівномірно по мосту на висоті $5 \mathrm{~м}$ над поверхнею землі. Швидкість автомобіля дорівнює $10 \mathrm{~м} / \mathrm{с}$. Визначте імпульс і кінетичну енергію автомобіля.
А
$10^{4} \mathrm{кг} \cdot \mathrm{~м} / \mathrm{с}$;
$10^{5} \mathrm{~Дж}$
Б
$10^{4} \mathrm{кг} \cdot \mathrm{~м} / \mathrm{с}$;
$5 \cdot 10^{4} \mathrm{~Дж}$
Правильна відповідь
В
$ 5 \cdot 10^{4} \mathrm{кг} \cdot \mathrm{~м} / \mathrm{с}$;
$10^{4} \mathrm{~Дж}$
Г
$10^{5} \mathrm{кг} \cdot \mathrm{~м} / \mathrm{с}$;
$10^{4} \mathrm{~Дж}$
Схожість: 94%
Оригінал
№ 6 ЗНО-2017, пробна сесія
У балоні міститься газ кількістю речовини $0,01 \mathrm{~моль}$. Скільки молекул газу в балоні? Уважайте, що стала Авогадро дорівнює $6 \cdot 10^{23} \mathrm{~моль}^{-1}$.
А
$10^{21}$
Б
$6 \cdot 10^{21}$
Правильна відповідь
В
$10^{24}$
Г
$6 \cdot 10^{24}$
Дублікат
№ 7 ЗНО-2012, пробна сесія
У балоні знаходиться газ, кількість речовини якого дорівнює 2 моль. Визначте наближено кількість молекул газу, що знаходиться в балоні. Вважайте, що стала Авогадро дорівнює $6 \cdot 10^{23} \mathrm{~моль}^{-1}$.
А
$3 \cdot 10^{23}$
Б
$6 \cdot 10^{23}$
В
$12 \cdot 10^{23}$
Правильна відповідь
Г
$24 \cdot 10^{23}$
Схожість: 97%
Оригінал
№ 6 ЗНО-2017, пробна сесія
У балоні міститься газ кількістю речовини $0,01 \mathrm{~моль}$. Скільки молекул газу в балоні? Уважайте, що стала Авогадро дорівнює $6 \cdot 10^{23} \mathrm{~моль}^{-1}$.
А
$10^{21}$
Б
$6 \cdot 10^{21}$
Правильна відповідь
В
$10^{24}$
Г
$6 \cdot 10^{24}$
Дублікат
№ 6 ЗНО-2013, основна сесія
У балоні міститься газ кількістю 0,01 моль. Скільки молекул газу в балоні? Уважайте, що стала Авогадро дорівнює $6 \cdot 10^{23} \mathrm{~моль}^{-1}$.
А
$10^{21}$
Б
$6 \cdot 10^{21}$
Правильна відповідь
В
$10^{24}$
Г
$6 \cdot 10^{24}$
Схожість: 95%
Оригінал
№ 6 ЗНО-2017, пробна сесія
У балоні міститься газ кількістю речовини $0,01 \mathrm{~моль}$. Скільки молекул газу в балоні? Уважайте, що стала Авогадро дорівнює $6 \cdot 10^{23} \mathrm{~моль}^{-1}$.
А
$10^{21}$
Б
$6 \cdot 10^{21}$
Правильна відповідь
В
$10^{24}$
Г
$6 \cdot 10^{24}$
Дублікат
№ 7 ЗНО-2010, додаткова сесія
У балоні знаходиться 0,01 моль газу. Скільки молекул газу знаходиться в балоні? Вважайте, що стала Авогадро дорівнює $6 \cdot 10^{23} \mathrm{~моль}^{-1}$.
А
$10^{21}$
Б
$6 \cdot 10^{21}$
Правильна відповідь
В
$10^{24}$
Г
$6 \cdot 10^{24}$
Схожість: 92%
Оригінал
№ 7 ЗНО-2017, пробна сесія
Яке твердження є правильним для адіабатного розширення ідеального газу?
А
газ не виконує роботу, його внутрішня енергія збільшується
Б
газ не отримує тепла, його внутрішня енергія зменшується
Правильна відповідь
В
газ отримує тепло, його внутрішня енергія збільшується
Г
газ отримує тепло та виконує роботу
Дублікат
№ 9 ЗНО-2012, основна сесія
Укажіть правильне твердження щодо адіабатного розширення ідеального газу.
А
газ не виконує роботи, його внутрішня енергія збільшується
Б
газ не отримує тепла, його внутрішня енергія зменшується
Правильна відповідь
В
газ отримує тепло, його внутрішня енергія збільшується
Г
газ отримує тепло та виконує роботу
Схожість: 98%
Оригінал
№ 8 ЗНО-2017, пробна сесія
Визначте, яку роботу виконує розріджений азот масою $56 \mathrm{~г}$ під час ізобарного нагрівання на $50 \mathrm{~К}$. Уважайте, що молярна маса азоту дорівнює $28 \mathrm{~г} / \mathrm{моль}$, а універсальна газова стала – $8,3 \mathrm{~Дж} / (\mathrm{моль} \cdot \mathrm{К} )$ .
А
$208\mathrm{~Дж}$
Б
$332\mathrm{~Дж}$
В
$830\mathrm{~Дж}$
Правильна відповідь
Г
$3320\mathrm{~Дж}$
Дублікат
№ 8 ЗНО-2016, додаткова сесія
Визначте, яку роботу виконує розріджений азот масою $56 \mathrm{~г}$ під час ізобарного нагрівання на $50 \mathrm{~К}$ . Молярна маса азоту становить $28 \mathrm{~г} / \mathrm{моль}$, а універсальна газова стала дорівнює $8,3 \mathrm{~Дж} / ( \mathrm{моль} \cdot \mathrm{К} )$.
А
$208 \mathrm{~Дж}$
Б
$332 \mathrm{~Дж}$
В
$830 \mathrm{~Дж}$
Правильна відповідь
Г
$3320 \mathrm{~Дж}$
Схожість: 99%
Оригінал
№ 8 ЗНО-2017, пробна сесія
Визначте, яку роботу виконує розріджений азот масою $56 \mathrm{~г}$ під час ізобарного нагрівання на $50 \mathrm{~К}$. Уважайте, що молярна маса азоту дорівнює $28 \mathrm{~г} / \mathrm{моль}$, а універсальна газова стала – $8,3 \mathrm{~Дж} / (\mathrm{моль} \cdot \mathrm{К} )$ .
А
$208\mathrm{~Дж}$
Б
$332\mathrm{~Дж}$
В
$830\mathrm{~Дж}$
Правильна відповідь
Г
$3320\mathrm{~Дж}$
Дублікат
№ 10 ЗНО-2012, основна сесія
Визначте, яку роботу виконує розріджений азот масою $56 \mathrm{~г}$ під час ізобарного нагрівання на $50 \mathrm{~К}$. Молярна маса азоту становить $28 \mathrm{~г}/\mathrm{моль}$, а універсальна газова стала дорівнює $8,3 \mathrm{~Дж} / ( \mathrm{моль} \cdot \mathrm{К} )$.
А
$208 \mathrm{~Дж}$
Б
$332 \mathrm{~Дж}$
В
$830 \mathrm{~Дж}$
Правильна відповідь
Г
$3320 \mathrm{~Дж}$
Схожість: 99%
Оригінал
№ 8 ЗНО-2017, пробна сесія
Визначте, яку роботу виконує розріджений азот масою $56 \mathrm{~г}$ під час ізобарного нагрівання на $50 \mathrm{~К}$. Уважайте, що молярна маса азоту дорівнює $28 \mathrm{~г} / \mathrm{моль}$, а універсальна газова стала – $8,3 \mathrm{~Дж} / (\mathrm{моль} \cdot \mathrm{К} )$ .
А
$208\mathrm{~Дж}$
Б
$332\mathrm{~Дж}$
В
$830\mathrm{~Дж}$
Правильна відповідь
Г
$3320\mathrm{~Дж}$
Дублікат
№ 9 ЗНО-2009, додаткова сесія
Визначте, яку роботу виконує розріджений азот масою $56 \mathrm{~г}$ під час ізобарного нагрівання на $50 \mathrm{~К}$. Молярна маса азоту дорівнює $28 \mathrm{~г}/\mathrm{моль}$, а універсальна газова стала $8,3 \mathrm{~Дж} / ( \mathrm{моль} \cdot \mathrm{К} )$.
А
$208 \mathrm{~Дж}$
Б
$332 \mathrm{~Дж}$
В
$830 \mathrm{~Дж}$
Правильна відповідь
Г
$3320 \mathrm{~Дж}$
Схожість: 100%
Оригінал
№ 10 ЗНО-2017, пробна сесія
Дощова крапля має заряд $q_{1}=+1,5 \mathrm{~нКл}$. Як зміниться модуль напруженості електричного поля краплі на відстані $10 \mathrm{~см}$ від неї, коли вона зіллється з іншою краплею, заряд якої $q_{2}=-0,5 \mathrm{~нКл}$?
А
збільшиться в 1,5 раза
Б
збільшиться в 1,33 раза
В
зменшиться в 3 рази
Г
зменшиться в 1,5 раза
Правильна відповідь
Дублікат
№ 11 ЗНО-2009, додаткова сесія
Дощова крапля має заряд $q_{1}=+1,5 \mathrm{~нKл}$. Як зміниться модуль напруженості електричного поля краплі на відстані $10 \mathrm{~см}$ від неї, коли вона зіллється з іншою краплею, заряд якої $q_{2}=-0,5 \mathrm{~нKл}$?
А
збільшиться в 1,5 раза
Б
збільшиться в 1,33 раза
В
зменшиться в 3 рази
Г
зменшиться в 1,5 раза
Правильна відповідь
Схожість: 97%
Оригінал
№ 13 ЗНО-2017, пробна сесія
Електрон, що влітає в однорідне магнітне поле під кутом $30^{\circ}$ до напрямку ліній магнітного поля, рухатиметься по
А
прямій
Б
колу
В
гвинтовій лінії
Правильна відповідь
Г
синусоїді
Дублікат
№ 16 ЗНО-2011, додаткова сесія
Електрон, що влітає в однорідне магнітне поле під кутом $30^{\circ}$ до напрямку силових ліній магнітного поля, рухатиметься по
А
прямій.
Б
колу.
В
гвинтовій лінії.
Правильна відповідь
Г
синусоїді.
Схожість: 99%
Оригінал
№ 15 ЗНО-2017, пробна сесія
Заряджений конденсатор ємністю $C$ з'єднали з котушкою, індуктивність якої дорівнює $L$. Визначте, через який час уся енергія електричного поля конденсатора перетвориться в енергію магнітного поля котушки. Активним опором елементів кола знехтуйте.
А
$\frac{\pi}{4} \sqrt{L C}$
Б
$\frac{\pi}{2} \sqrt{L C}$
Правильна відповідь
В
$\pi \sqrt{L C}$
Г
$2 \pi \sqrt{L C}$
Дублікат
№ 20 ЗНО-2009, додаткова сесія
Заряджений конденсатор ємністю $C$ з'єднали з котушкою, індуктивність якої дорівнює $L$. Визначте, через який час уся енергія електричного поля конденсатора перетвориться в енергію магнітного поля котушки. Активним опором елементів кола можна знехтувати.
А
$\frac{\pi}{4} \sqrt{L C}$
Б
$\frac{\pi}{2} \sqrt{L C}$
Правильна відповідь
В
$\pi \sqrt{L C}$
Г
$2 \pi \sqrt{L C}$
Схожість: 100%
Оригінал
№ 17 ЗНО-2017, пробна сесія
На рисунку зображено промінь світла, що падає на тонку лінзу. Після заломлення в лінзі цей промінь пройде через точку, позначену цифрою
Ілюстрація до питання 17
А
1
Б
2
В
3
Г
4
Правильна відповідь
Дублікат
№ 22 ЗНО-2011, додаткова сесія
На рисунку зображено промінь світла, що падає на тонку лінзу. Після заломлення в лінзі цей промінь пройде через точку, позначену цифрою
Ілюстрація до питання 22
А
1
Б
2
В
3
Г
4
Правильна відповідь
Схожість: 99%
Оригінал
№ 18 ЗНО-2017, пробна сесія
Потужність випромінювання зорі дорівнює $9 \cdot 10^{25} \mathrm{~Вт}$. Визначте, на скільки зменшується маса цієї зорі за $10$ секунд. Уважайте, що швидкість світла у вакуумі дорівнює $3 \cdot 10^{8} \mathrm{~м} / \mathrm{с}$.
А
$10^{8} \mathrm{~кг}$
Б
$10^{10} \mathrm{~кг}$
Правильна відповідь
В
$3 \cdot 10^{16} \mathrm{~кг}$
Г
$3 \cdot 10^{18} \mathrm{~кг}$
Дублікат
№ 24 ЗНО-2010, додаткова сесія
Потужність випромінювання зорі дорівнює $9 \cdot 10^{25} \mathrm{~Вт}$. Визначте, на скільки зменшується маса цієї зорі за 10 секунд. Швидкість світла у вакуумі дорівнює $3 \cdot 10^{8} \mathrm{~м} / \mathrm{с}$.
А
$10^{8} \mathrm{~кг}$
Б
$3 \cdot 10^{16} \mathrm{~кг}$
В
$10^{10} \mathrm{~кг}$
Г
$3 \cdot 10^{18} \mathrm{~кг}$
Правильна відповідь
Схожість: 100%
Оригінал
№ 19 ЗНО-2017, пробна сесія
Енергія фотонів, які падають на поверхню металевої пластинки, дорівнює $4,5 \mathrm{~eB}$. Якщо максимальна кінетична енергія фотоелектронів дорівнює $1,5 \mathrm{~eB}$, то робота виходу електрона з металу становить
А
$1,5 \mathrm{~eB}$
Б
$3 \mathrm{~eB}$
Правильна відповідь
В
$4,5 \mathrm{~eB}$
Г
$6 \mathrm{~eB}$
Дублікат
№ 25 ЗНО-2011, додаткова сесія
Енергія фотонів, що падають на поверхню металевої пластинки, дорівнює $4,5 \mathrm{~eB}$. Якщо максимальна кінетична енергія фотоелектронів дорівнює $1,5 \mathrm{~eB}$, то робота виходу електрона з металу становить
А
$1,5 \mathrm{~eB}$
Б
$3 \mathrm{~eB}$
Правильна відповідь
В
$4,5 \mathrm{~eB}$
Г
$6 \mathrm{~eB}$
Схожість: 93%
Оригінал
№ 22 ЗНО-2017, пробна сесія
Установіть відповідність між властивостями (1-4) та станом (А-Д) речовини.
Варіанти зліва
1
речовина зберігає об'єм, але не зберігає форму
2
тиск речовини за сталої температури обернено пропорційний об'єму
3
речовина є анізотропною
4
тиск речовини за сталої температури не залежить від об'єму
Варіанти справа
А
полікристал
Б
насичена пара
В
монокристал
Г
ідеальний газ
Д
рідина
Правильні відповіді
1 Д
2 Г
3 В
4 Б
Дублікат
№ 28 ЗНО-2012, основна сесія
Установіть відповідність між властивостями речовини та її станом.
Варіанти зліва
1
речовина зберігає об'єм, але не зберігає форму
2
тиск речовини за сталої температури обернено пропорційний об'єму
3
речовина є анізотропною
4
під час стискання за сталої температури тиск речовини не змінюється
Варіанти справа
А
полікристал
Б
насичена пара
В
монокристал
Г
розріджений газ
Д
рідина
Правильні відповіді
1 Д
2 Г
3 В
4 Б
Схожість: 97%
Оригінал
№ 22 ЗНО-2017, пробна сесія
Установіть відповідність між властивостями (1-4) та станом (А-Д) речовини.
Варіанти зліва
1
речовина зберігає об'єм, але не зберігає форму
2
тиск речовини за сталої температури обернено пропорційний об'єму
3
речовина є анізотропною
4
тиск речовини за сталої температури не залежить від об'єму
Варіанти справа
А
полікристал
Б
насичена пара
В
монокристал
Г
ідеальний газ
Д
рідина
Правильні відповіді
1 Д
2 Г
3 В
4 Б
Дублікат
№ 27 ЗНО-2009, додаткова сесія
Установіть відповідність між властивостями речовини та станом речовини.
Варіанти зліва
1
Речовина зберігає об'єм, але не зберігає форму.
2
Тиск речовини за сталої температури обернено пропорційний об'єму.
3
Речовина є анізотропною.
4
Тиск речовини за сталої температури не залежить від об'єму.
Варіанти справа
А
полікристал
Б
насичена пара
В
монокристал
Г
ідеальний газ
Д
рідина
Правильні відповіді
1 Д
2 Г
3 В
4 Б
Схожість: 88%
Оригінал
№ 23 ЗНО-2017, пробна сесія
Установіть відповідність між назвою фізичної величини (1-4) та виразом (А-Д), за яким її розраховують ( $B$ – модуль вектора магнітної індукції, $S$ – площа контуру, $I$ – сила струму, $l$ – довжина провідника, $L$ – індуктивність, $q$ – заряд кожної з частинок, що створюють струм, $U$ – швидкість напрямленого руху частинок, $\Delta t$ – проміжок часу, $\alpha$ – відповідний кут).
Варіанти зліва
1
електрорушійна сила самоіндукції
2
магнітний потік
3
модуль сили Лоренца
4
модуль сили Ампера
Варіанти справа
А
$B S \cos \alpha$
Б
$I \Delta t$
В
$BIl\sin \alpha$
Г
$\frac{-L \Delta I}{\Delta t}$
Д
$B U|q| \sin \alpha$
Правильні відповіді
1 Г
2 А
3 Д
4 В
Дублікат
№ 27 ЗНО-2010, додаткова сесія
Установіть відповідність між фізичними величинами та їхніми математичними виразами.
Варіанти зліва
1
електрорушійна сила самоіндукції
2
магнітний потік
3
модуль сили Лоренца
4
модуль сили Ампера
Варіанти справа
А
$BS \cos \alpha$
Б
$I \cdot \Delta t$
В
$BI \sin \alpha$
Г
$\frac{-L \Delta I}{\Delta t}$
Д
$Bvq  \sin \alpha$
Правильні відповіді
1 Г
2 В
3 Д
4 Б
Схожість: 98%
Оригінал
№ 24 ЗНО-2017, пробна сесія
Установіть відповідність між явищем (1-4) і прикладом його застосування (А-Д).
Варіанти зліва
1
електромагнітна індукція
2
коливання маятника
3
відбивання електромагнітних хвиль
4
інтерференція світла
Варіанти справа
А
спектральний аналіз
Б
вимірювання прискорення вільного падіння
В
генератор електричного струму
Г
просвітлення оптики
Д
радіолокація
Правильні відповіді
1 В
2 Б
3 Д
4 Г
Дублікат
№ 27 ЗНО-2011, додаткова сесія
Установіть відповідність між явищем і прикладом його застосування.
Варіанти зліва
1
явище електромагнітної індукції
2
коливання маятника
3
відбивання електромагнітних хвиль
4
інтерференція світла
Варіанти справа
А
спектральний аналіз
Б
вимірювання прискорення вільного падіння
В
генератор електричного струму
Г
просвітлення оптики
Д
радіолокація
Правильні відповіді
1 В
2 Б
3 Д
4 Г
Схожість: 95%
Оригінал
№ 27 ЗНО-2017, пробна сесія
На столі знаходяться два бруски масами $m_{1}=1 \mathrm{~кг}$ i $m_{2}=2 \mathrm{~кг}$, зв'язані невагомою нерозтяжною ниткою, що схематично зображено на рисунку. Коефіцієнти тертя між брусками та столом відповідно дорівнюють $\mu_{1}=0,5$ і $\mu_{2}=0,3$. До другого бруска прикладають горизонтальну силу $\vec{F}$, модуль якої дорівнює $8 \mathrm{~Н}$. Визначте силу натягу нитки. Уважайте, що прискорення вільного падіння дорівнює $10 \mathrm{~м} / \mathrm{с}^{2}$.
Відповідь запишіть у ньютонах ($\mathrm{Н}$)
Ілюстрація до питання 27
Правильна відповідь: 2.0
Дублікат
№ 4 ЗНО-2011, додаткова сесія
На столі знаходяться два бруски масами $m_{1} = 1 \mathrm{~кг}$ і $m_{2} = 2 \mathrm{~кг}$, зв'язані невагомою нерозтяжною ниткою (див. рисунок). Коефіцієнти тертя між брусками та столом відповідно дорівнюють $\mu_{1}=0,5$ і $\mu_{2}=0,3$. До другого бруска прикладають горизонтальну силу $\vec{F}$, модуль якої дорівнює $8 \mathrm{~Н}$ . Визначте силу натягу нитки. Вважайте, що $g=10 \mathrm{~м} / \mathrm{с}^{2}$.
Ілюстрація до питання 4
А
$2 \mathrm{~Н}$
Правильна відповідь
Б
$3 \mathrm{~Н}$
В
$4 \mathrm{~Н}$
Г
$8 \mathrm{~Н}$
Схожість: 99%
Оригінал
№ 28 ЗНО-2017, пробна сесія
Циліндрична закрита посудина висотою $1,2 \mathrm{~м}$ розташована вертикально й розділена на дві частини невагомим тонким поршнем, що ковзає без тертя. На якій висоті установиться поршень, якщо у верхній частині посудини міститься гелій, молярна маса якого дорівнює $0,004 \mathrm{~кг}/\mathrm{моль}$, а у нижній – азот, молярна маса якого $0,028 \mathrm{~кг}/\mathrm{моль}$. Температури та маси газів у обох частинах посудини однакові.
Відповідь запишіть у метрах ($\mathrm{м}$)
Правильна відповідь: 0.15
Дублікат
№ 33 ЗНО-2011, додаткова сесія
Циліндрична закрита посудина висотою $1,2 \mathrm{~м}$ знаходиться у вертикальному положенні і розділена на дві частини невагомим тонким поршнем, що ковзає без тертя. На якій висоті установиться поршень, якщо у верхній частині посудини знаходиться гелій, молярна маса якого дорівнює $0,004 \mathrm{~кг}/\mathrm{моль}$, а у нижній – азот, молярна маса якого $0,028 \mathrm{~кг}/\mathrm{моль}$. Температури і маси газів в обох частинах посудини однакові. Відповідь запишіть у метрах.
Правильна відповідь: 0.15
Схожість: 92%
Оригінал
№ 29 ЗНО-2017, пробна сесія
Коефіцієнт корисної дії (ККД) ідеального теплового двигуна становить $30 \%$. Визначте температуру нагрівача, якщо температура холодильника дорівнює $21^{\circ} \mathrm{C}$.
Відповідь запишіть у кельвінах ($\mathrm{К}$)
Правильна відповідь: 420.0
Дублікат
№ 31 ЗНО-2010, додаткова сесія
Коефіцієнт корисної дії ідеального теплового двигуна становить $30\ \%$. Визначте температуру нагрівача за шкалою Кельвіна, якщо температура холодильника дорівнює $21^{\circ} \mathrm{C}$.
Правильна відповідь: 420.0
Схожість: 90%
Оригінал
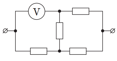
№ 30 ЗНО-2017, пробна сесія
До ділянки кола, яка складається з чотирьох однакових резисторів та вольтметра, прикладена напруга $100 \mathrm{~В}$. Визначте значення напруги, що показує вольтметр, уважайте опір вольтметра нескінченно великим.
Відповідь запишіть у вольтах ($\mathrm{B}$)
Ілюстрація до питання 30
Правильна відповідь: 80.0
Дублікат
№ 32 ЗНО-2010, додаткова сесія
До ділянки кола, яка складається з чотирьох однакових резисторів та вольтметра, прикладена напруга $100 \mathrm{~В}$. Вважаючи опір вольтметра нескінченно великим, визначте значення напруги, що показує вольтметр (у вольтах).
Ілюстрація до питання 32
Правильна відповідь: 80.0
Схожість: 90%
Оригінал
№ 31 ЗНО-2017, пробна сесія
У котушці, індуктивність якої $3 \mathrm{~Гн}$, проходить струм силою $0,5 \mathrm{~А}$. Визначте енергію магнітного поля котушки.
Відповідь запишіть у джоулях ($\mathrm{Дж}$)
Правильна відповідь: 0.375
Дублікат
№ 34 ЗНО-2010, додаткова сесія
Визначте енергію магнітного поля котушки, що має індуктивність $3 \mathrm{~Гн}$, по якій проходить струм силою $0,5 \mathrm{~A}$.
Відповідь запишіть у джоулях.
Правильна відповідь: 0.375
Схожість: 99%
Оригінал
№ 32 ЗНО-2017, пробна сесія
В ідеальному коливальному контурі амплітуда коливань сили струму в котушці індуктивності дорівнює $5 \mathrm{~мА}$, амплітуда коливань заряду конденсатора становить $5 \mathrm{~нКл}$. У момент часу $t$ заряд конденсатора дорівнює $3 \mathrm{~нКл}$. Визначте силу струму в котушці в цей момент.

Відповідь запишіть у міліамперах ($\mathrm{мА}$)
Правильна відповідь: 4.0
Дублікат
№ 35 ЗНО-2011, додаткова сесія
В ідеальному коливальному контурі амплітуда коливань сили струму в котушці індуктивності дорівнює $5 \mathrm{~мА}$ , амплітуда коливань заряду конденсатора становить $5 \mathrm{~нКл}$. У момент часу $t$ заряд конденсатора дорівнює $3 \mathrm{~нКл}$. Визначте силу струму в котушці в цей момент. Відповідь запишіть у міліамперах.
Правильна відповідь: 4.0
Схожість: 99%
Оригінал
№ 33 ЗНО-2017, пробна сесія
За допомогою лінзи отримали зображення $A_{1} B_{1}$ предмета $A B$ (див. рисунок). Визначте оптичну силу лінзи, якщо відстань між лініями сітки, зображеними на рисунку, дорівнює $6 \mathrm{~см}$.
Відповідь запишіть у діоптріях ($\mathrm{дптр}$)
Ілюстрація до питання 33
Правильна відповідь: 6.25
Дублікат
№ 34 ЗНО-2009, додаткова сесія
За допомогою лінзи отримали зображення $A_{1} B_{1}$ предмета $A B$ (див. рисунок). Визначте оптичну силу лінзи, якщо відстань між лініями сітки, зображеними на рисунку, дорівнює $6 \mathrm{~см}$. Відповідь запишіть у діоптріях.
Ілюстрація до питання 34
Правильна відповідь: 12.5
Схожість: 88%
Оригінал
№ 34 ЗНО-2017, пробна сесія
Джерело радіоактивного випромінення містить нуклід Натрію ${ }_{11}^{22} \mathrm{Na}$ масою $3,2 \mathrm{~г}$, період піврозпаду якого становить 2,6 року. Визначте, через який проміжок часу маса нукліда Натрію, що не розпався, дорівнюватиме $100 \mathrm{~мг}$.
Відповідь запишіть у роках
Правильна відповідь: 13.0
Дублікат
№ 36 ЗНО-2011, додаткова сесія
Джерело радіоактивного випромінювання містить $3,2 \mathrm{~г}$ ізотопу Натрію ${ }_{11}^{22} \mathrm{Na}$, період піврозпаду якого становить 2,6 року. Визначте, через який проміжок часу (у роках) маса ізотопу Натрію, що не розпався, дорівнюватиме $100 \mathrm{~мг}$.
Правильна відповідь: 13.0